Teachers Fund LBG increase Loan Interest to 14% and Boosts Limits Starting March 1, 2026
Great news for educators across Ghana! The Teachers Fund LBG, managed under the Ghana National Association of Teachers (GNAT), has announced a significant reduction in loan interest rates from 16% to 14% per annum, effective from March 1, 2026. This move comes alongside increased loan limits, making financial support more accessible and affordable for teachers. The changes were unveiled during the 2026 GNAT Delegates Conference, marking a positive step amid ongoing economic challenges like inflation and rising living costs.
Follow us on WhatsApp for more updates: CLICK HERE
Seekers Consult
Contact Us for Your Study Abroad Journey
We search for schools and check available scholarships for you
Contact: 0550414552 / 0362297079

Loan for government workers
Transcript Application
English Proficiency
Recommendation letter
Project work/thesis for undergraduate, master’s, and PhD students.
Apply for Affidavit, Gazette instantly
Passport and Visa Applications
All other Internet Services
What is the Teachers Fund LBG?
The Teachers Fund LBG is a financial institution established by GNAT to provide affordable loans, savings, and investment opportunities exclusively for Ghanaian teachers. It’s designed to support educators with personal, investment, and other needs, helping them build financial security. Contributions are deducted from salaries, and members can access loans based on their affordability and contribution history.
As of now, the Fund charges interest on a reducing balance method, meaning you only pay interest on the outstanding principal. With over 200,000 members, it’s a lifeline for many in the education sector.
The Key Changes: Lower Rates and Higher Limits
Starting March 1, 2026, the interest rate on all loan types drops to 14% per annum (from the previous 16%). This reduction was proposed and approved at the recent GNAT conference, reflecting feedback from teachers on high borrowing costs.
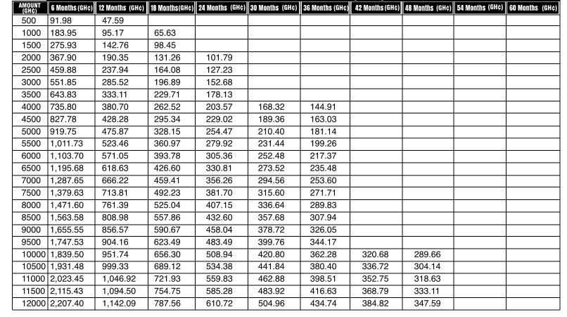
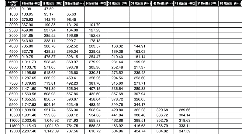
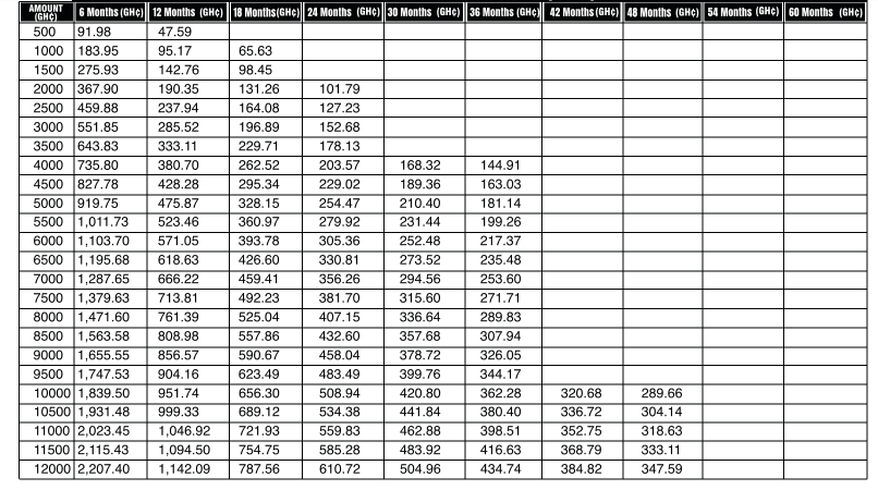
Additionally, loan limits have been expanded to give members more flexibility. Here’s a quick overview of the revised limits (based on the latest announcements):
| Loan Type | New Maximum Amount | Maximum Repayment Duration | Key Notes |
|---|---|---|---|
| Personal Loan | Up to GH¢40,000 | 48 months | For general personal needs like emergencies or family support. |
| Investment Loan | Up to GH¢100,000 (if affordable) | 60 months | Ideal for business ventures, property, or education investments. Higher limits subject to affordability checks. |
| Other Loans | Varies | Up to 60 months | Includes vehicle, housing, or appliance loans; consult the Fund for specifics. |
These increases aim to help teachers tackle bigger financial goals without straining their budgets. For context, some commercial banks in Ghana are already offering 14% rates, so this aligns the Teachers Fund more competitively.
Why This Matters: Benefits for Teachers
In a time when Ghana’s economy is grappling with inflation (hovering around 20-25% in early 2026) and salary adjustments lagging behind, this rate cut could save teachers hundreds or even thousands of cedis in interest over a loan’s life.
- Lower Monthly Payments: At 14%, a GH¢20,000 loan over 36 months might reduce your monthly repayment by about GH¢50-100 compared to 16% (rough estimate; use the Fund’s calculator for exacts).
- Increased Access: Higher limits mean you can borrow more for impactful investments, like starting a side business or funding further education.
- Financial Empowerment: GNAT’s move responds to teacher demands for better welfare, potentially reducing reliance on high-interest private lenders.
- Broader Impact: With more disposable income, teachers can focus better on their core role educating the next generation without financial stress.
This isn’t just a rate tweak; it’s a vote of confidence in Ghana’s educators, who often face underfunding and resource shortages in schools.
Potential Drawbacks and Considerations
While the changes are largely positive, keep in mind:
- Affordability Checks: Loans are still based on your salary deductions and contribution level (minimum GH¢250 monthly for optional contributors).
- Eligibility: You must be an active GNAT member with consistent contributions.
- Economic Context: If inflation rises further, even 14% might feel high, but it’s a step down from previous rates.
Compare this to other options like the Student Loan Trust Fund, which recently increased amounts by 50% but targets students, not teachers.
How to Apply for a Teachers Fund Loan
Ready to take advantage? Here’s a simple guide:
- Check Eligibility: Log into the Teachers Fund portal (teachersfund.org.gh) or visit a GNAT office.
- Gather Documents: Salary slip, GNAT ID, bank details, and proof of purpose (e.g., quotes for investments).
- Apply Online or In-Person: Use the app or portal for faster processing. Applications post-March 1 will reflect the new rates.
- Approval Timeline: Typically 2-4 weeks, depending on demand.
- Repayment: Automatic salary deductions easy and hassle-free.
Note: Calculate your affordability first to avoid over-borrowing. The Fund offers financial counseling too.
Follow us on WhatsApp for more updates: CLICK HERE
Seekers Consult
Contact Us for Your Study Abroad Journey
We search for schools and check available scholarships for you
Contact: 0550414552 / 0362297079

Loan for government workers
Transcript Application
English Proficiency
Recommendation letter
Project work/thesis for undergraduate, master’s, and PhD students.
Apply for Affidavit, Gazette instantly
Passport and Visa Applications
All other Internet Services





